Главная
Учебные материалы
Познавательная информация
Сайты учителей
Работы учеников
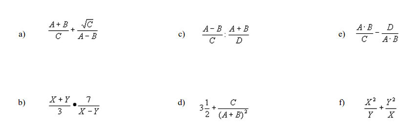
Арифметические выражения
Вычислить значения выражений:
Предыдущий: Оператор выбора Case
Назад
Следующий: Линейные алгоритмы
Вперед